Предмет: Алгебра, автор: kirill4558

Найти пределы ( не пользуясь правилом Лопиталя)
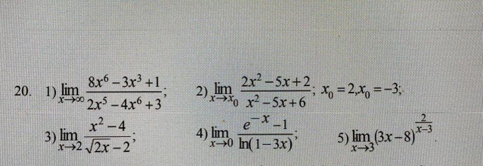
На фото(20 вариант 1,2,3 пункт решить надо) очень срочно

Приложения:

Ответы

Автор ответа: NNNLLL54
1

1)\ \ \lim\limits_{x \to \infty}\dfrac{8x^6-3x^3+1}{2x^5-4x^6+3}= \lim\limits_{x \to \infty}\dfrac{8-\frac{3}{x^3}+\frac{1}{x^6} }{\frac{2}{x}-4+\frac{3}{x^6}}=\dfrac{8}{-4}=-2

2a)\ \ \lim\limits_{x \to 2}\dfrac{2x^2-5x+2}{x^2-5x+6}= \lim\limits_{x \to 2}\dfrac{2\, (x-2)(x-0,5)}{(x-2)(x-3)}=\lim\limits_{x \to 2}\dfrac{2(x-0,5)}{x-3}=\\\\\\=\dfrac{2\, (2-0,5)}{2-3}=\dfrac{3}{-1}=-3

2b)\ \ \lim\limits_{x \to 3}\dfrac{2x^2-5x+2}{x^2-5x+6}= \lim\limits_{x \to 3}\dfrac{2x^2-5x+2}{(x-2)(x-3)}=\Big[\ \dfrac{2\cdot 9-5\cdot 3+2}{0}=\dfrac{5}{0}=\infty\ \Big]=\\\\=\infty

3)\ \ \lim\limits_{x \to 2}\dfrac{x^2-4}{\sqrt{2x}-2}=\lim\limits_{x \to 2}\dfrac{(x-2)(x+2)(\sqrt{2x}+2)}{(\sqrt{2x}-2)(\sqrt{2x}+2)}=\\\\\\=\lim_{x \to 2}\dfrac{(x-2)(x+2)(\sqrt{2x}+2)}{2x-4}=\lim\limits_{x \to 2}\dfrac{(x-2)(x+2)(\sqrt{2x}+2)}{2\, (x-2)}=\\\\\\=\lim\limits_{x \to 2}\dfrac{(x+2)(\sqrt{2x}+2)}{2}=\dfrac{4\cdot 4}{2}=4

Похожие вопросы
Предмет: Математика, автор: aidana2003ah
Предмет: Алгебра, автор: Аноним