Предмет: Алгебра, автор: rustamka2007

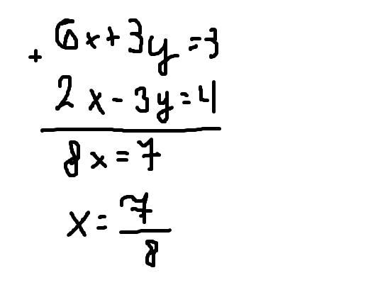
6x+3y=3 2x-3y=4 помогите решить
метод: сложения уравнений

Ответы

Автор ответа: rri8583
0

............................................................................................

Приложения:
Похожие вопросы
Предмет: Английский язык, автор: kshhipachyova
Переведите пожалуйста^^
We were standing on the bridge, trying to catch some fish for supper when a small red plane flew almost directly above our heads. We could even see the pilot's face.
"What on earth is he up to?" I asked. I felt rather annoyed. "I think he's in trouble," Jack said. "His engine is making a strange noise." "Well, we can't do anything, can we?" I said. "We can't even phone from here." We were on a boating holiday and we were miles from the nearest town. "We can follow the plane down the river," Jack said.
"Come on! Let's go!" I must admit I liked the idea. There were not many fish in that part of the river and I was bored. We dropped our fishing lines and ran towards our boat. It lay under some bushes about a hundred yards down the river. Luckily, the engine started almost at once and soon we were roaring down the river.
"But can the pilot land here?'' I asked Jack. He came to this part of the country for a holiday almost every year and he knew the area well. "There's a lake about fifteen miles down the river," Jack said. "If the pilot really is in trouble, he'll probably try to land there."
The river was already becoming wider. We went round a bend and there was the lake in front of us. "Can you see anything?" Jack asked. I looked across the lake.
"No, absolutely nothing," I replied. "Wait a minute, though.
There's something in the water, near that island in the middle."
It was the small red plane! We raced across the lake. By the time we reached the island, the pilot - a very young woman! - was sitting on top of the plane.
"Hi!" she called out to us. "Thanks for coming to help me. I'm sorry I disturbed you while you were fishing. Anyway, would you like some fish for supper?" She reached into the plane and pulled out a large fish.
"There's plenty more in here!" she said, laughing.
Предмет: Алгебра, автор: 26к14м17ц