Предмет: Химия,
автор: kiskissss5
Скорость реакции при 80 °С 2 моль/л·ч. Какова будет скорость реакции при 110 °С, если температурный коэффициент равен 4.
Ответы
Автор ответа:
1
Ответ:
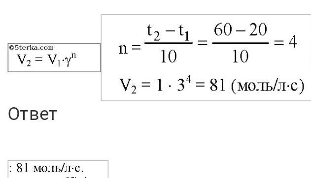
81 моль/л*с
Объяснение:
Ответ точный и можешь найти это в интернете!
Приложения:
Похожие вопросы
Предмет: Геометрия,
автор: Vovenych
Предмет: Геометрия,
автор: олаолаоо
Предмет: Математика,
автор: zhambatyrov
Предмет: Математика,
автор: foxheb57
Предмет: Алгебра,
автор: sofikul2003