Предмет: Математика,
автор: ugalektulub9ev
Помогите пж пж пж пж у меня соч пж умоляю
Приложения:
Ответы
Автор ответа:
0
Ответ:
9
Пошаговое объяснение:
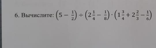
9/2 : (9/4 - 1/8) * (7/4 + 8/3 - 1/6) = 9/2 : 17/8 * (7/4 + 8/3 - 1/6) = 9/2 : 17/8 * 17/4 = 9/2 * 8/17 * 17/4 = 9/2 * 8/1 * 1/4 = 9
Похожие вопросы
Предмет: Русский язык,
автор: gmail991
Предмет: Биология,
автор: ecio731
Предмет: Физика,
автор: karim588
Предмет: Математика,
автор: darina555555555умник