Предмет: Алгебра,
автор: Jefexon
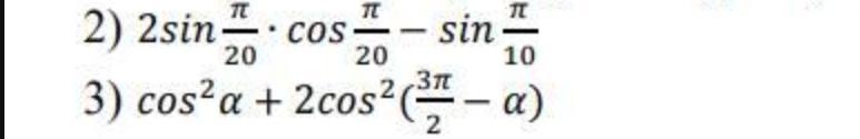
Упростить выражения (Тригонометрия, 2 примера)
Приложения:
Ответы
Автор ответа:
1
Вот решение ваших примеров
Приложения:
Похожие вопросы
Предмет: Геометрия,
автор: fwenfmwenfelk
Предмет: Математика,
автор: pavelgrebe
Предмет: Математика,
автор: nataliamhlk
Предмет: Математика,
автор: 22866682773