Предмет: Математика,
автор: veronikalike1029r
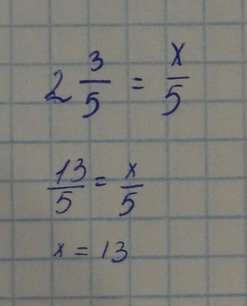
вставьте правильное число чтобы равенство было верным 2целых 3/5= х/5
Ответы
Автор ответа:
2
Пошаговое объяснение:
пупупупумпумупумпуиур
Приложения:
Автор ответа:
1
Ответ:
2 целых 3/5 = (2*5)+3/5 = 13/5
Пошаговое объяснение:
Похожие вопросы
Предмет: Математика,
автор: zarema1234
Предмет: История,
автор: batovaMarina
Предмет: Алгебра,
автор: taimazovam1999
Предмет: Алгебра,
автор: NyashMyashMi
Предмет: Литература,
автор: natalonshakova