Предмет: Математика,
автор: feandry07
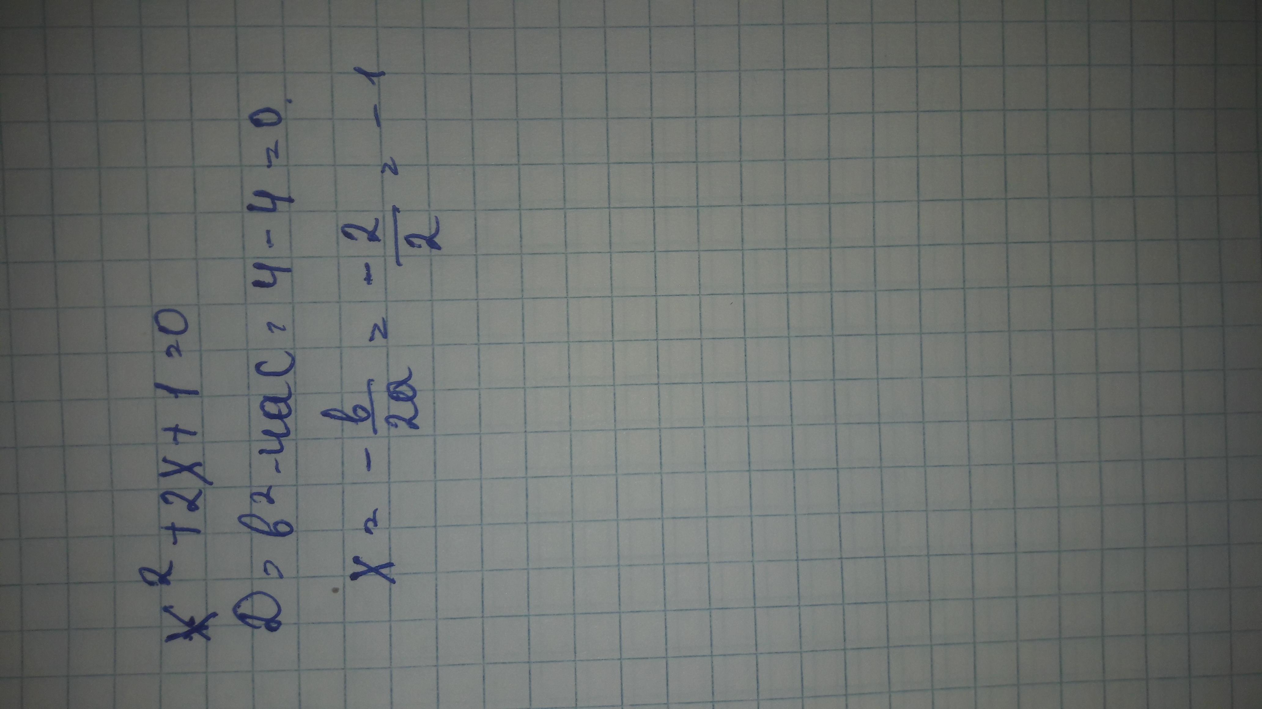
знайдіть корені рівняння x^2+2x+1=0
Ответы
Автор ответа:
1
Ответ:
Пошаговое объяснение:
наверное так
Приложения:
adilzhanyertleu:
это тебе дискриминантом нужна?
нет
Спасибо за ответ)))
Автор ответа:
1
Ответ:формула:b2-4 ^a^c=4-4=0 Дискриминант менше 0 значет будет 1 корен корен будет равен : -1
Пошаговое объяснение:
когда выходет дискременант менше 0 то тогда корен будет толко 1 дискриминант это число при корне с его помощю можно найти корни
Спасибо))
Похожие вопросы
Предмет: География,
автор: nel06061981
Предмет: Геометрия,
автор: Kiska20o5
Предмет: Математика,
автор: tanyxank86
Предмет: Физика,
автор: bukashka56