Предмет: Алгебра,
автор: tetetetetrr
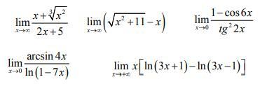
УМОЛЯЮ, ПОМОГИТЕ Найти пределы функции
Приложения:
stymapgames:
1 - одна вторая, 2 - ноль, 3 - девять вторых, 4 - четыре седьмых, 5 - незнаю
Ответы
Автор ответа:
0
Ответ:
1 - одна вторая, 2 - ноль, 3 - девять вторых, 4 - четыре седьмых, 5 - незнаю
Объяснение:
а можно чуть-чуть подробней?
Похожие вопросы
Предмет: Алгебра,
автор: mouse11
Предмет: Математика,
автор: oksanakopylova
Предмет: География,
автор: SashaLemon
Предмет: Математика,
автор: shekiliadil