Предмет: Математика,
автор: borissurnin985
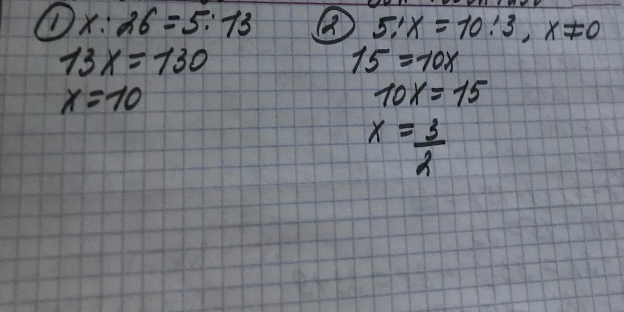
решите уравнения x:26=5:13,
5:x=10:3,плиз очень надо
Ответы
Автор ответа:
2
....................................................
Приложения:
Автор ответа:
1
Ответ:
х=10
Пошаговое объяснение:
26*15/13=10
Похожие вопросы
Предмет: Биология,
автор: dimma2003
Предмет: Другие предметы,
автор: esarsadskich
Предмет: Математика,
автор: armanshokk
Предмет: Алгебра,
автор: GallagherKennedy
Предмет: Математика,
автор: Аленёнок2017