Предмет: Математика, автор: Аноним

Решение тригонометрических уравнений.

Приложения:

Ответы

Автор ответа: Miroslava227
0

Ответ:

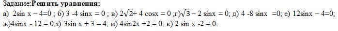
а)

2 \sin(x)  - 4 = 0 \\  \sin(x)  = 2

корней нет.

б)

3 - 4 \sin(x)  = 0 \\  \sin(x)  =  \frac{3}{4}  \\ x =  {( - 1)}^{n} arcsin( \frac{3}{4} ) + \pi \: n

n принадлежит Z.

в)

2 \sqrt{2}  + 4 \cos(x)  = 0 \\  \cos(x)  =  -  \frac{2 \sqrt{2} }{4}  \\  \cos(x)  =  -  \frac{ \sqrt{2} }{2}  \\ x1 =    \frac{3\pi}{4}  + 2\pi \: n \\ x2 =  -  \frac{3\pi}{4}  + 2\pi \: n

n принадлежит Z.

г)

 \sqrt{3}  - 2 \sin(x)  = 0 \\  \sin(x)  =  \frac{ \sqrt{3} }{2}  \\ x1 =  \frac{\pi}{3}  + 2\pi \: n \\x 2 = \frac{2\pi}{3}  + 2\pi \: n

n принадлежит Z .

д)

4 - 8 \sin(x)  = 0 \\  \sin(x)  =  \frac{1}{2}  \\ x1   =  \frac{\pi}{6}  + 2\pi \: n \\ x2 =  \frac{5\pi}{6}  + 2\pi \: n

n принадлежит Z.

е)

12 \sin(x)  - 4 = 0 \\  \sin(x)  =  \frac{1}{3}  \\ x =  {( - 1)}^{n} arcsin( \frac{1}{3} ) + \pi \: n

n принадлежит Z.

ж)

4 \sin(x)  - 12 = 0 \\  \sin(x)  = 3

корней нет.

з)

3 \sin(x)  + 3 = 4 \\  \sin(x)  =  \frac{1}{3}  \\ x =  {( - 1)}^{n} arcsin( \frac{1}{3} ) + \pi \: n

n принадлежит Z.

и)

4 \sin(2x)  + 2 = 0 \\  \sin(2x)  =  -  \frac{1}{2}  \\ 2x1 =  -  \frac{\pi}{6}  + 2\pi \: n \\ x1 =  -  \frac{\pi}{12}  + \pi \: n \\  \\ 2x2 =  -   \frac{5\pi}{6}  + 2\pi \: n \\ x2 =  -  \frac{5\pi}{12}  + \pi \: n

n принадлежит Z.

к)

2 \sin(x)  - 2 = 0 \\  \sin(x)  = 1 \\ x =  \frac{\pi}{2}  + 2\pi \: n

n принадлежит Z.

Похожие вопросы
Предмет: Математика, автор: jhfjkyddbbhg
Предмет: Русский язык, автор: nastya12365479
Предмет: Физика, автор: kokoko71
Предмет: Литература, автор: макс3140