Предмет: Алгебра,
автор: maratovaj07
пожааааалууууйййсстттаааа ЭТО К/Р!!! СРОЧНО
Приложения:
Ответы
Автор ответа:
1
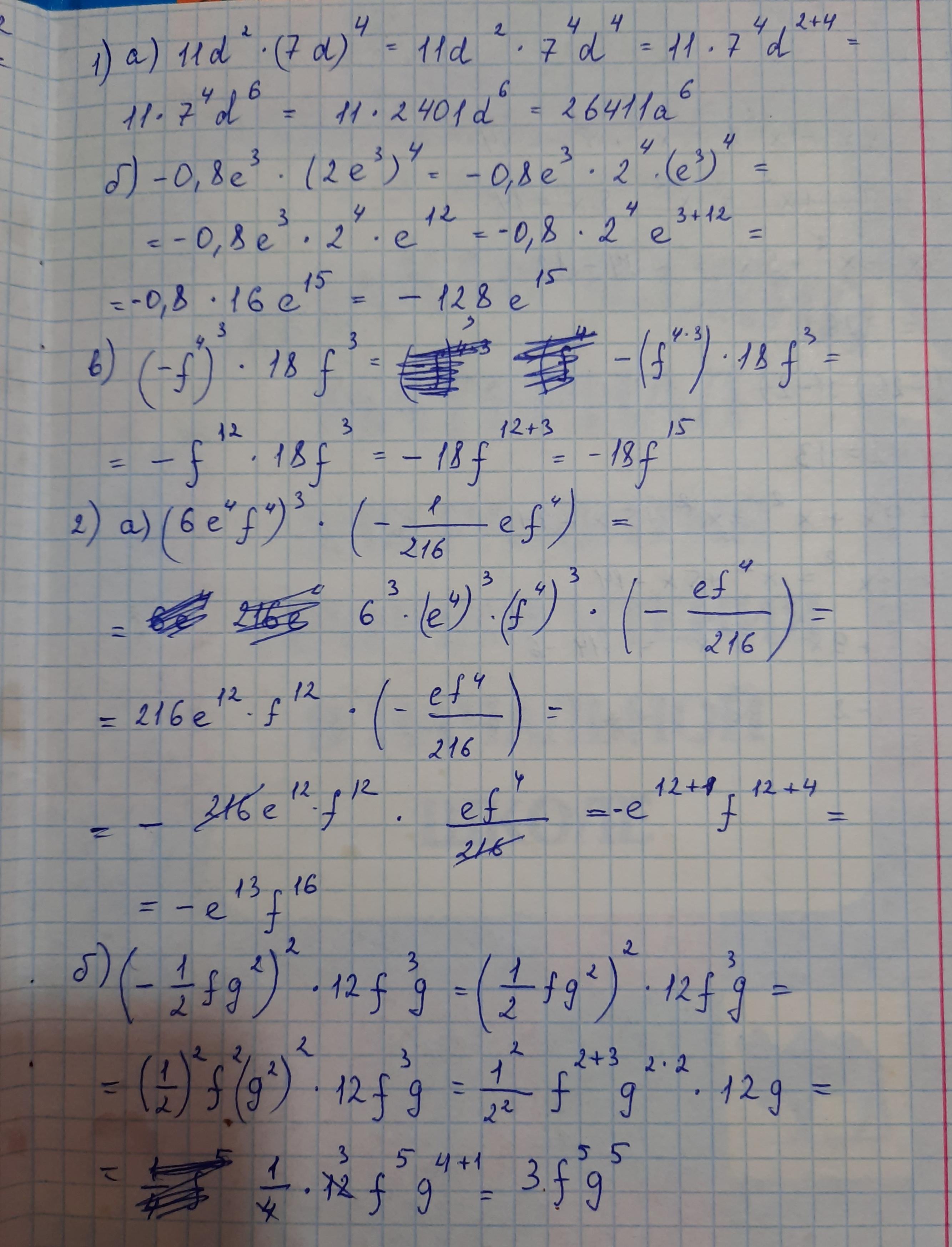
Ответ: во вложенном файле
Приложения:
maratovaj07:
оаоаоаооа спасибооооо
Похожие вопросы
Предмет: История,
автор: ratata650
Предмет: Русский язык,
автор: Аноним
Предмет: Литература,
автор: loyd551
Предмет: Алгебра,
автор: Mrspofig
Предмет: Физика,
автор: Elizaweta88