Предмет: Физика,
автор: croysantv
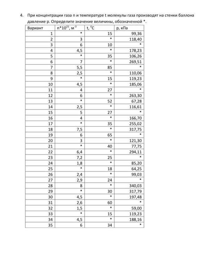
номер 27, с решением пожалуйста
Приложения:
Ответы
Автор ответа:
0
Ответ:
р ≈ 118,86 кПа
Объяснение:
n = 2.9·10⁻²⁵ 1/м³
t = 24°C
k = 1.38·10²³ Дж/К - постоянная Больцмана
р -? - давление
= = = = =
T = 24°C + 273°C = 297 K
p = nkT
p = 2.9·10⁻²⁵ · 1.38·10²³ · 297 = 118859,4 (Па) ≈ 118,86 кПа
Похожие вопросы
Предмет: Математика,
автор: svinaryovairin
Предмет: Русский язык,
автор: artem2003419
Предмет: Математика,
автор: buinaya4244
Предмет: Математика,
автор: amir139