Предмет: Математика,
автор: aysel2020
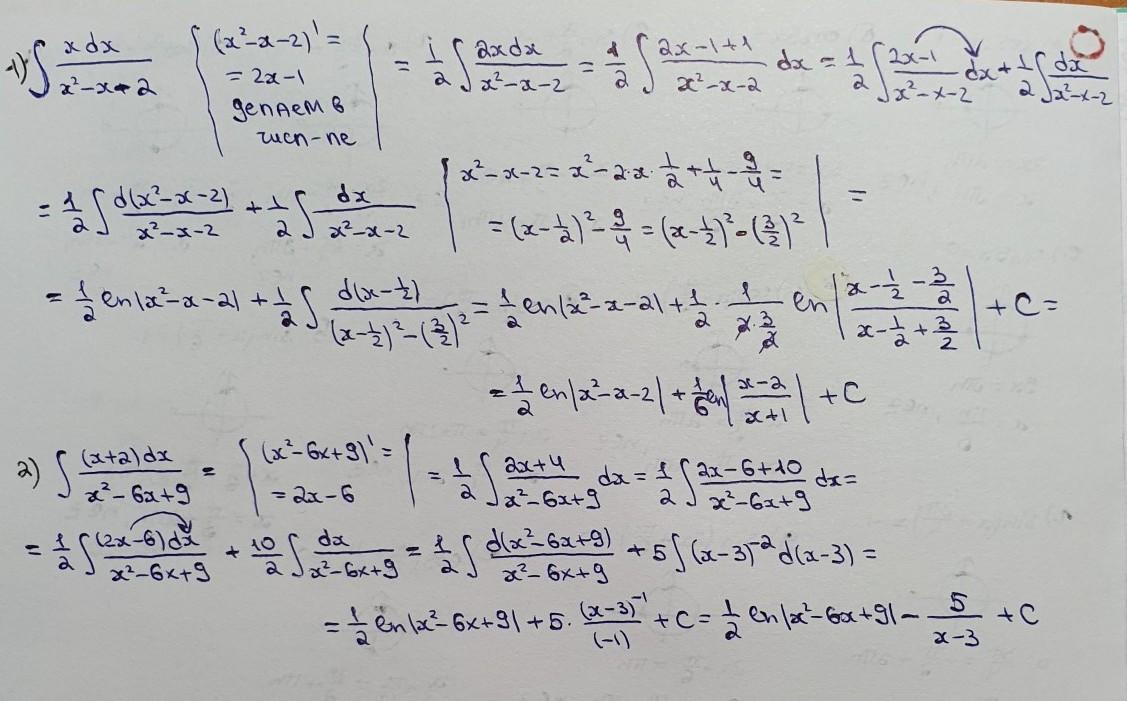
Найти интегралы рациональных функций - 10 класс, срочно. Даю 50 баллов. Решение напишите на листочке.
Приложения:
Ответы
Автор ответа:
1
Ответ:
решение на фотографиях
Приложения:
Похожие вопросы
Предмет: Русский язык,
автор: Chika5
Предмет: Русский язык,
автор: Ramazi2004
Предмет: Українська мова,
автор: eckumo123
Предмет: История,
автор: shirobokovaval