Предмет: Математика, автор: karaosmanovaana

Решите уравнение: 2∙(х-1 1/10)+4 1/5=5 1/3 по дескриптору ​

Приложения:

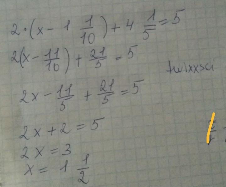
karaosmanovaana: 2∙(х-1 1/10)+4 1/5=5 1/3
karaosmanovaana: пожалуйста решите
karaosmanovaana: и это ×
vdeykalo1: спорим что твоя фамилия начинается на буквы от а до м?

Ответы

Автор ответа: twixxsci
1

решение на фото

...........

Приложения:

karaosmanovaana: а здесь 11 /10 что ли
karaosmanovaana: нужно одна целая 1/10
Автор ответа: kim08an
2

Ответ:

Ответ верный

Пошаговое объяснение:

х=5/3 = 1 2/3

Похожие вопросы
Предмет: Русский язык, автор: Arsik11
Предмет: Русский язык, автор: 79531560649
ПОмогите сжать текст!!
Современная жизнь с её всё возрастающим темпом заставляет людей общаться с большим числом людей. Удивительно, но чем больше таких «мимолётных» знакомых мы встречаем, тем сложнее найти среди них настоящих друзей. Однако очевидно одно: мы все ощущаем сильную потребность в дружеском общении, близкие дружеские отношения по-прежнему нам необходимы так же, как пища и вода.
Каким же должен быть настоящий друг? Настоящий друг всегда сможет помочь вам в трудное время, но он никогда не будет использовать вас как средство для достижения своих целей. Настоящий друг искренне порадуется вашим успехам, но он не будет делать вид, что рад, и при этом в душе завидовать вам. Друг всегда найдёт нужное слово поддержки, которого так часто не хватает людям. На друга всегда можно положиться, потому что он честен с вами.
Не стоит думать, что друг должен быть идеальным человеком, лишённым любых недостатков. Нет. Друг — тоже человек, а идеальных людей нет. Главное — относиться к нему с добротой и вниманием.
Предмет: Математика, автор: sgoqas