Предмет: Геометрия, автор: cxxdie

решите пожалуйста, дам 50 баллов

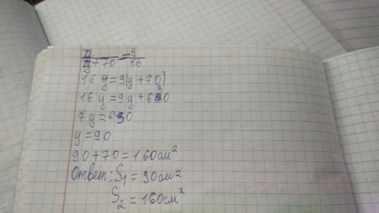
Приложения:

zhaka090: чувак не позно?

Ответы

Автор ответа: zhaka090
1

Ответ:

окей

Объяснение:

Приложения:
Похожие вопросы
Предмет: Українська мова, автор: 3380956899675
Всем привет! Помогите пожалуйста.Не могу придумать план.Даю 30 балов.
План к сочинению на украинский язык.
.
Лісовик

Козак Андрій Ярчук в’їхав у ліс. Дороги не було видно. Земля під високими соснами була всипана глицею. Під копитами Орлика голки ворушилися, шурхотіли, наче змії.
Раптом сосни дивно хитнулися. Звук, що народився при цьому, мало скидався на звичайний лісовий шурхіт. Скоріше це було зітхання велетня.
Андрій зробив коліньми ледь помітний порух. Орлик слухняно спинився. Дерева зрушилися з місця й встали навкруг щільним частоколом. Тепер між стовбурами неможливо було ні на коні проїхати, ні пішому протиснутися.
В одному місці дерева посунулися, пропускаючи чоловічка. Точніше, це тільки спереду можна було прийняти за чоловічка ту істоту. Була вона з колоди та гілок, вкритих хвоїнками. Чоловічок спритно скакав на однісінькій нозі з шістьма різномірними пальцями, допомагаючи собі при цьому руками. Тією, яка коротша, розмахував у повітрі, а довшою зрідка спирався на землю. Лист папороті звішувалося у чоловічка з маківки на зразок козацького оселедця. Метелик павичеве око сидів над сучком, котрий правив за носа. Той метелик широко розкинув свої крила з великим оком на кожному. Таким чином він заміняв чоловічкові очі справжні.
Чоловічок незграбно вклонився. Метелик склав крила і знову розгорнув їх.
- Хочу літати., - сказав чоловічок. –Коли на коні, то майже летиш.
Андрій зрозумів, що лісовикові припав до вподоби Орлик.
- Хоч виведи мене з лісу, - попросив він.
Дерева розступилися, пропускаючи їх. Вони навіть вишикувалися двома рядами, вказуючи путь. Невдовзі підійшли до краю лісу. Попереду був степ.
Андрій пихнув люлькою, вийняв її з рота й витрусив жаринки просто в оселедець з папороті. Зайнялося вмить. По-особливому свиснувши Орлику, козак пригнувся, і вони полетіли. Зупинилися на високій могилі, куди лісовик ніяк не міг дістатися. Поплескавши коня, Андрій рушив далі.