Предмет: Алгебра,
автор: Аноним
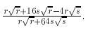
Помогите с алгеброй даю 33 бала
Приложения:
Ответы
Автор ответа:
0
Ответ:
если что, то решение начинается с левой картинкой
Приложения:
Похожие вопросы
Предмет: География,
автор: B9056051913A
Предмет: Математика,
автор: at13
Предмет: Алгебра,
автор: marina0903
Предмет: Литература,
автор: йцывапенрошщдлро