Предмет: Алгебра,
автор: MrMaxwell27
Вирішити зручним способом друге. Решить простым способом второе.
Приложения:
Ответы
Автор ответа:
1
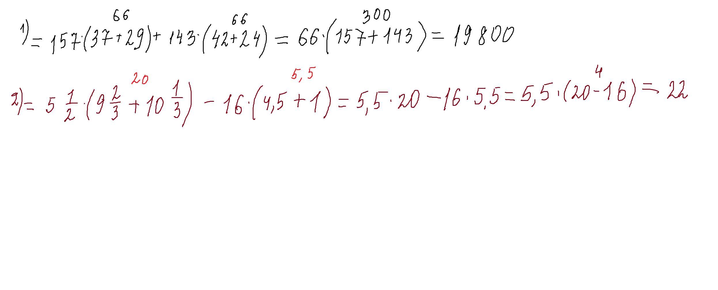
1) 5809 + 4553 + 6006 + 3432 = 19800
2) 319/6 -72 + 341/6 - 16 = 319/6 + 341/6 = 660/6 - 88 = 110 - 88 = 22
2) 319/6 -72 + 341/6 - 16 = 319/6 + 341/6 = 660/6 - 88 = 110 - 88 = 22
parus77:
и это вы называете ПРОСТЫМ способом?
Автор ответа:
1
Ответ:
Объяснение:
решение внизу
Приложения:
Спасибо.
пожалуйста
Похожие вопросы
Предмет: Химия,
автор: gk133
Предмет: Литература,
автор: aydeesedova
Предмет: Математика,
автор: Аноним
Предмет: Математика,
автор: katia841
Предмет: Биология,
автор: deni20061