Предмет: Математика,
автор: 0oAnnao0
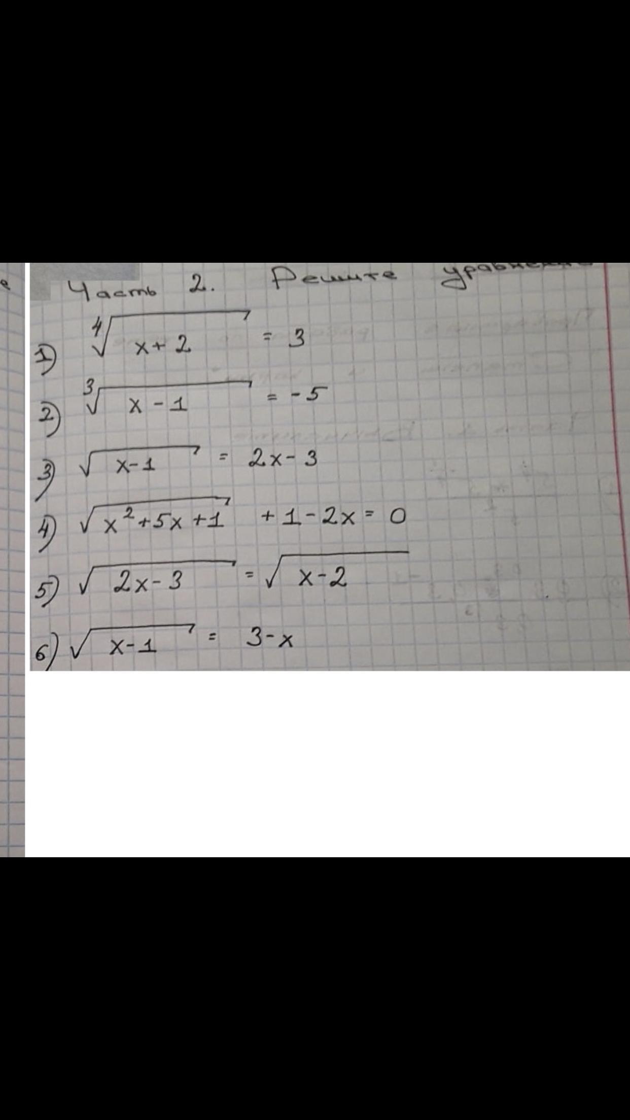
Помогите пожалуйста , если не сложно ,то можно на листочке :’( дам 50 баллов
Приложения:
Ответы
Автор ответа:
1
Ответ: вот пожалуста думаю всё ясно
Пошаговое объяснение:
Приложения:
0oAnnao0:
Спасибо большое !!!
Не за что) удачи)
Похожие вопросы
Предмет: Математика,
автор: Аноним
Предмет: Физика,
автор: yuralebed1
Предмет: Математика,
автор: Dany05
Предмет: Математика,
автор: соня5105