Предмет: Математика,
автор: edikku
Срочно!!!!!!!!!!!!!!
Приложения:
Ответы
Автор ответа:
1
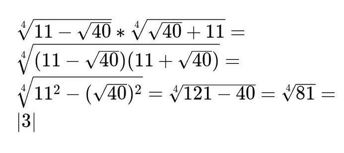
Вот так будет.Не за что!
Приложения:
Похожие вопросы
Предмет: Алгебра,
автор: avarlakhin
Предмет: Русский язык,
автор: Аноним
Предмет: Математика,
автор: 22il22
Предмет: Математика,
автор: аовоуоуо
Предмет: Математика,
автор: HarliTop4ik