Предмет: Геометрия,
автор: KINGAK06
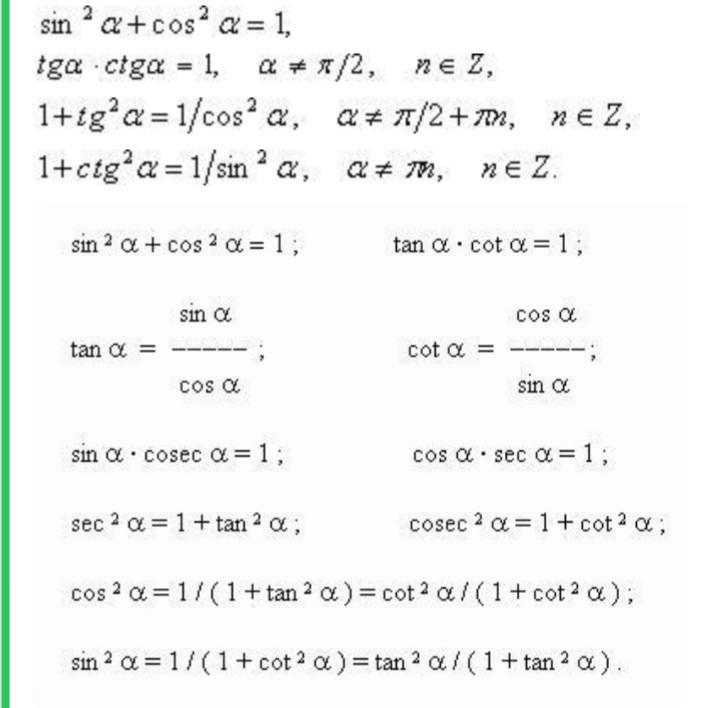
Какие тригонометрические тождества вы знаете
Ответы
Автор ответа:
1
Ответ: Вот на фото всё написано
Объяснение:
Приложения:
Похожие вопросы
Предмет: Русский язык,
автор: JEDA123
Предмет: Биология,
автор: vkonsb
Предмет: Экономика,
автор: Dotzer
Предмет: Математика,
автор: azimduishenovic
Предмет: Математика,
автор: rambaat