Предмет: Алгебра,
автор: anna45veyhenj
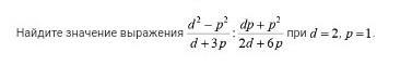
Найдите значение выражения
Приложения:
Ответы
Автор ответа:
1
вот ответ пожалуйста.....
Приложения:
Похожие вопросы
Предмет: Математика,
автор: bessarabmariya
Предмет: Математика,
автор: fedorovph321
Предмет: Математика,
автор: Liza12311
Предмет: Литература,
автор: Petrilyak84
Предмет: Математика,
автор: 665121