Предмет: Математика,
автор: Anonim190
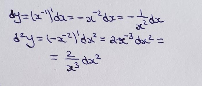
Найти dy, d²y для функции y=1/x
Ответы
Автор ответа:
1
Ответ:
решение на фотографии
Приложения:
Похожие вопросы
Предмет: Русский язык,
автор: mkovtb
Предмет: Математика,
автор: mishatrol
Предмет: История,
автор: IksanovaFiona
Предмет: Математика,
автор: лягушатник