Предмет: Алгебра,
автор: panda061
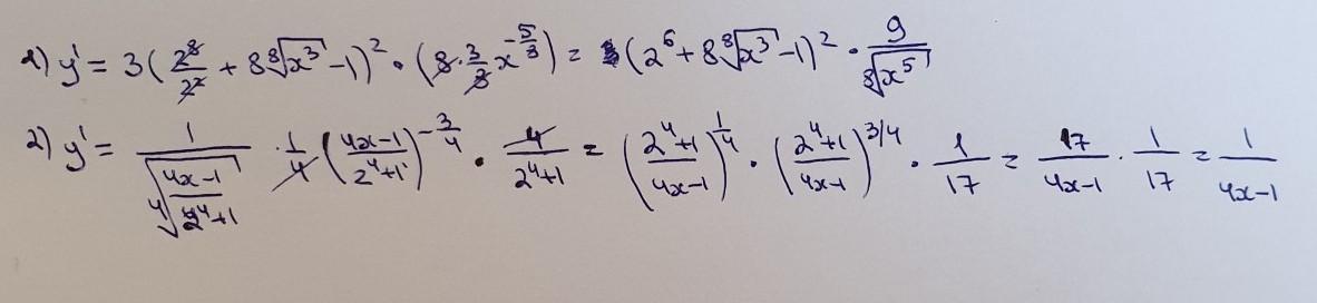
Найти производную, буду очень благодарна)))
Приложения:
Ответы
Автор ответа:
1
Ответ:
решение на фотографии
Приложения:
Похожие вопросы
Предмет: Физика,
автор: annyyaa
Предмет: Английский язык,
автор: romakep251187
Предмет: Математика,
автор: hiop
Предмет: Алгебра,
автор: kabzyapparova
Предмет: История,
автор: Muke