Предмет: Математика,
автор: yulyaomoe
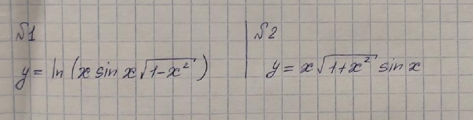
Помогите пожалуйста. Задание: продифферинцировать функции
Приложения:
Ответы
Автор ответа:
0
Ответ:
решение на фотографии
Приложения:
Похожие вопросы
Предмет: Русский язык,
автор: elenemmi
Предмет: Другие предметы,
автор: Аделя84
Предмет: Русский язык,
автор: павноа
Предмет: Алгебра,
автор: МашаП2000
Предмет: Алгебра,
автор: kozlov2001g