Предмет: Химия,
автор: igvn71g
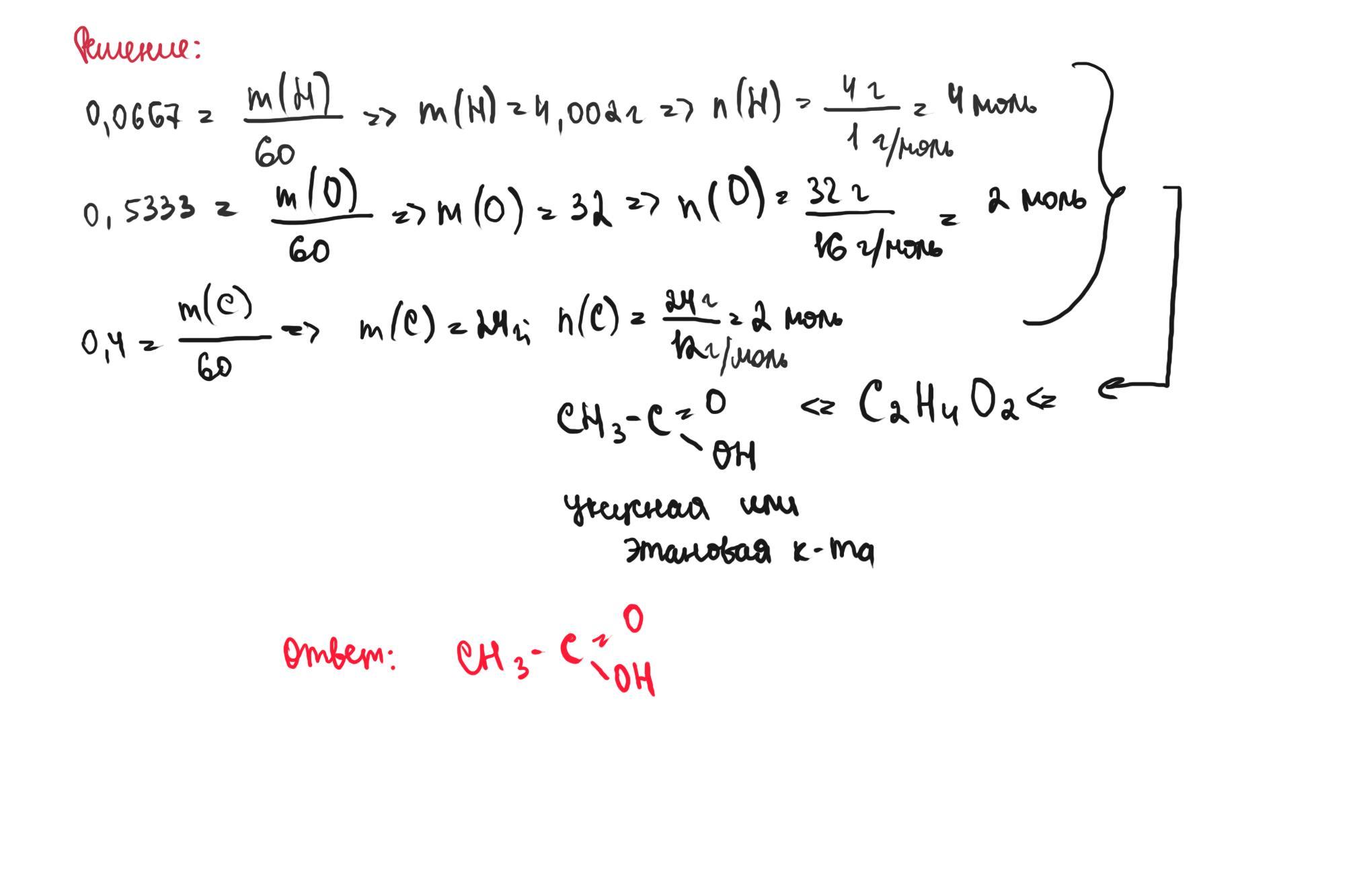
Одноосновная карбоновая кислота имеет следующий состав: углерод - 40%, водород - 6,67%, кислород - 53,33%. Плотность паров этой кислоты по аргону равна 1,5. Исходя из этих данных, най дите молекулярную формулу этой кислоты.
Ответы
Автор ответа:
3
Уксусная кислота CH3COOH
Приложения:
Автор ответа:
2
Ответ:
этановая кислота
Объяснение:
решение на фото
Приложения:
Похожие вопросы
Предмет: Русский язык,
автор: Аноним
Предмет: Русский язык,
автор: danidlsxh3747
Предмет: Английский язык,
автор: Nelka1992
Предмет: Математика,
автор: Сонька766
Предмет: Физика,
автор: kotyakrotic