Предмет: Алгебра,
автор: sbocahi
Пожалуйста решите прошу
Приложения:
Ответы
Автор ответа:
0
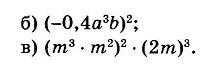
Ответ:
б) 0.16 *a^6*b^2
в)8*m^13
Объяснение:
sbocahi:
эм, хочешь бан?
ммм?
б)(-0,4а^3b)^2=1.6a^6b^2
в)(m^3×m^2)^2×(2m)^3=(m^6×m^4)×6m^3=6m^13
в)(m^3×m^2)^2×(2m)^3=(m^6×m^4)×6m^3=6m^13
сори, на мне был бан решил проверить есть ли сейчас бан или нет
-0.4 * -0.4 не 1.6, а 0.16
видимо это не моё(
бывает
Автор ответа:
0
Объяснение:
надеюсь помолго, удачкт
Приложения:
Похожие вопросы
Предмет: История,
автор: ozalgochi
Предмет: Математика,
автор: orlova51
Предмет: Математика,
автор: aysulu04
Предмет: География,
автор: lizzkaqwertyuiop