Предмет: Математика,
автор: Аноним
SOS СРОЧНО ПЖ ПОМОГИТЕ УМОЛЯЮ!
МОЖЕТЕ ТОЛЬКО ЗАПИСАТЬ 2 И 3 ЕСЛИ ХОТИТЕ НО С ПРАВИЛЬНЫМ ОТВЕТОМ.
Приложения:
Ответы
Автор ответа:
0
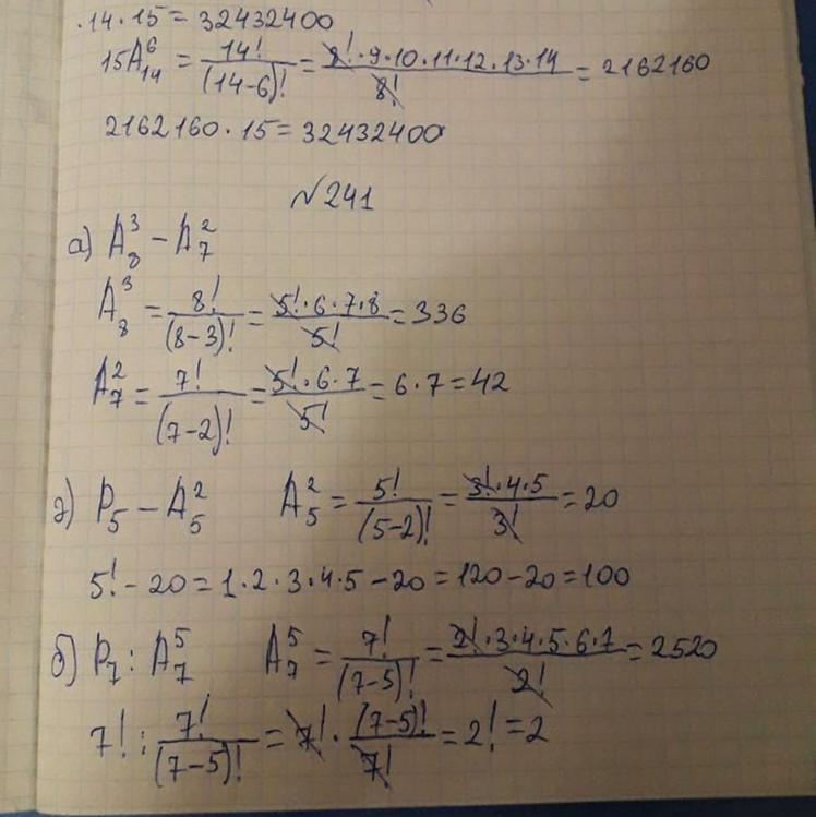
вот ответ на задания
Приложения:
Похожие вопросы
Предмет: Українська мова,
автор: 20091003
Предмет: Английский язык,
автор: svoiskaya1997
Предмет: Русский язык,
автор: олеггг
Предмет: Литература,
автор: ученик1782
Предмет: Физика,
автор: лалал15