Предмет: Геометрия,
автор: aidanabaimahanova153
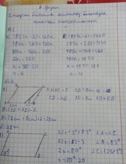
көмектесіңдерш срочно өтініш кімде бар
Приложения:
Ответы
Автор ответа:
4
Ответ:
Осылар емеспа корши тексерип жаз
Приложения:
sergofles:
4 бар ма?
пожалуйста
Жоқ бұл емес қой(
Похожие вопросы
Предмет: Русский язык,
автор: vikafirsova20
Предмет: Русский язык,
автор: olesyagribanova
Предмет: Английский язык,
автор: dardova250504
Предмет: Математика,
автор: Анастасия18051
Предмет: История,
автор: мажор24