Предмет: Геометрия,
автор: munisamrtv
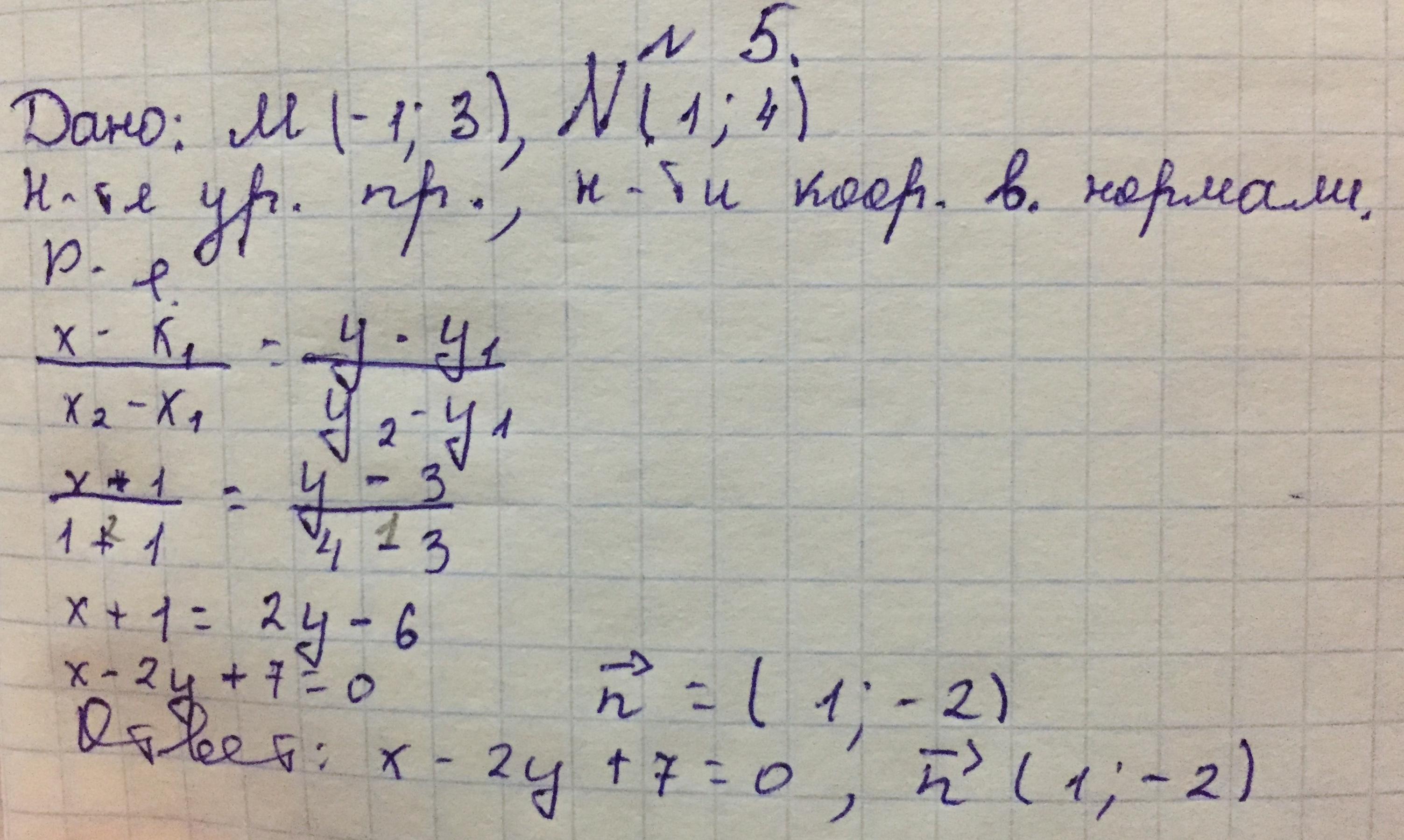
Напишите уравнение прямой, проходящей через точки М(-1;3), N(1; 4). Найдите координаты вектора нормали этой прямой. ДАЮ 30 БАЛЛОВ ПОЖАЛУЙСТА НУЖНО РЕШАТЬ ЭТО НЕ ИЗ БИЛИМ ЛЕНДА СРООООЧНО ПОМОГИТЕ!!!
munisamrtv:
Мне очень нужно пожалуйста помогите!
Ответы
Автор ответа:
11
Ответ:
Ответ правильный
Объяснение:
Приложения:
Похожие вопросы
Предмет: Русский язык,
автор: anandi98
Предмет: Русский язык,
автор: inkar20032
Предмет: Русский язык,
автор: strongyasinovs
Предмет: Физика,
автор: angelinafrank
Предмет: Биология,
автор: Степашка0071