Предмет: Физика, автор: Родомир

Решить  вот этот номер в сборнике задач по физике рымкевич 10 класс

Приложения:

Ответы

Автор ответа: Linelin
0
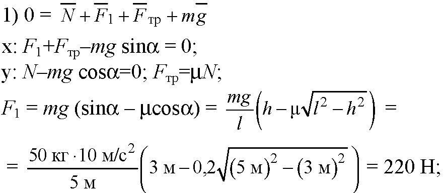
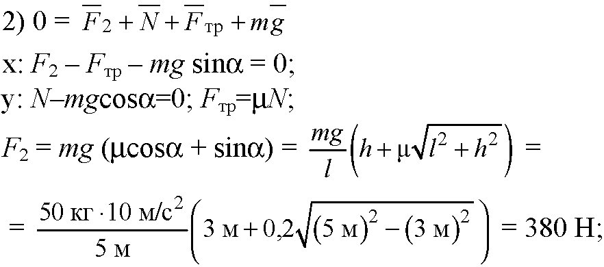
Дано:
l = 5 м;
h = 3 м;
m = 50 кг;
a = 1 м/с2;
μ = 0,2.
Найти F1, F2, F3.


Ответ: F1 = 220 Н, F2 = 380 Н, F3 = 430 Н.

Приложения:
Похожие вопросы
Предмет: Обществознание, автор: alsu7691
Прочитайте текст и ответьте на вопросы.


Открыть текст в отдельной вкладке


Многие современные учёные считают, что успешность социальной, экономической и экологической политики государства должна определяться возможностью для каждого члена общества полноценно функционировать в качестве человеческого существа. Другие обозначения для этой точки зрения – жизненное процветание и качество жизни. Именно их призвана обеспечить морально обоснованная государственная политика.

Набор возможностей человека широк – от возможности полноценно удовлетворять физические потребности и возможности общения с близкими людьми до возможности контролировать свою социально-экономическую среду. Среди этого набора присутствуют и такие возможности, которые могут быть реализованы только за счёт взаимодействия с природой. Так, одна из родоначальниц теории «функциональных возможностей человека» Марта Нассбаум обсуждает в качестве отдельной возможности возможность вести здоровую жизнь, которая зависит от благоприятных условий окружающей среды, и жить, устанавливая отношения с животными, растениями, миром природы в целом и заботясь о них. Примером обеспечения условий для реализации этой части человеческого потенциала для М. Нассбаум выступает комплекс мероприятий правительства Норвегии по сохранению «лесной линии» вдоль побережья. Её охрана оправдывается в том числе необходимостью сохранить пространство, в котором люди могли бы получать удовольствие от одиночества в не затронутом человеческой деятельностью лесу.

Этот подход крайне близок для людей, озабоченных экологическими проблемами.


(По А.В. Прокофьеву)


На основе прочитанного текста определите верные суждения, которые прямо следуют из текста.


А. Согласно методологии измерения качества жизни, экономические показатели не играют никакой роли в определении экологической политики государства.

Б. Некоторые сторонники теории «функциональных возможностей человека» считают возможность взаимодействовать с окружающей природой необходимой для реализации человеческого потенциала.

В. Осознание внутренней ценности окружающей среды убедило власти Норвегии сохранить «лесную линию» вдоль побережья.

Г. Моральным обоснованием государственной политики является обеспечение качества жизни для каждого человека.

Д. Недопустимо принуждать людей к коллективному финансированию мероприятий по охране окружающей среды.


АВ



БГ



ГД



АГД



БВД


Какой из перечисленных аргументов опирается на теорию «функциональных возможностей человека»?



Необходимо отозвать разрешение на вырубку леса в районе Z, так как недвижимость жителей близлежащего микрорайона упадёт в цене из-за ухудшения качества окружающей среды.



Необходимо отозвать разрешение на вырубку леса в районе Z, так как наличие этого леса позволяет многим жителям близлежащего района почувствовать себя частью природы, а значит, в более полной степени реализовать себя как человека.



Необходимо отозвать разрешение на вырубку леса в районе Z, так как лес является естественной средой обитания многочисленных животных, которые погибнут из-за его вырубки.



Необходимо отозвать разрешение на вырубку леса в районе Z, так как выгоды от налоговых поступлений от его продажи не смогут перевесить затраты, вызванные ростом числа заболеваний дыхательной системы, который ожидается из-за вырубки леса.


Требованиям каких социальных норм должна отвечать государственная политика с изложенной в тексте точки зрения?


Определения требований даны ниже.



Принятые в обществе представления о хорошем и плохом, правильном и неправильном, добре и зле



Исторически сложившиеся и передаваемые из поколения в поколение формы деятельности и поведения



Совокупность правил и норм поведения, регулирующих внешние проявления человеческих взаимоотношений



Совокупность принципов и правил, основанных на вере в высшие силы
Предмет: Русский язык, автор: almas010101010
К какому стилю речи относятся слова: СУШИЛКА, СТОЛОВКА, РАЗДЕВАЛКА?

А) разговорному

Б) официально-деловому

В) художественному

Г) публицистическому

Д) научному



27. Указать свойство, присущее данному стилю.

Привет, Гуля, как чувствуешь себя сегодня?

А) подготовленность

Б) предварительная продуманность

В) непринужденность

Г) официальность

Д) книжность



28. Какой стиль используется в устной бытовой речи?

А) научный

Б) разговорный

В) публицистический

Г) официально-деловой

Д) художественный



29. К какому стилю относится данный текст?

- Привет, дружище! Это Макс, узнал?

- Здорово! Давненько ты мне не звонил. Рад, рад тебя слышать.

- До тебя не дозвониться – всегда «занято».

- Да это моя сестра постоянно висит на телефоне.

-Давай махнем за город на выходные на озеро?

- Я согласен.

- Пока, до встречи.

А) официально-деловому

Б) публицистическому

В) научному

Г) разговорному

Д) художественному



30.Беседа, записка, телефонный разговор - это стиль...

А) научный

Б) официально-деловой

В) разговорный

Г) публицистический

Д) художественный



31.Для какого стиля характерно отсутствие предварительного отбора языкового материала?

А) публицистического

Б) разговорного

В) художественного

Г) официально-делового

Д) научного



32. К какому стилю речи относится данный текст?

- Послушай, на экзамене нужно давать полный ответ.

- Я думал, что все рассказал.

- Нет. Ты, к сожалению, не на все вопросы ответил. Так нельзя !

А) официально-деловому

Б) публицистическому

В) научному

Г) разговорному

Д) художественному



33. Определить стиль предложения:

Доводим до Вашего сведения, что студенты факультета экономики, финансов и права освобождены от занятий 14 декабря 2013 года для участия в торжественном мероприятии.

А) публицистический

Б) официально–деловой

В) научный

Г) разговорный

Д) художественный



34. Определить стиль текста:

В 2014 году поступил в Казахский университет экономики, финансов и международной торговли. В настоящее время являюсь студентом 1 курса дневной формы обучения.

А) разговорный

Б) публицистический

В) научный

Г) официально–деловой

Д) художественный



35. В каком официально-деловом документе отражаются следующие пункты: Цель. Сведения о себе. Образование. Специализация. Опыт работы. Предполагаемая должность.

А) в резюме

Б) в автобиографии

В) в расписке

Г) в доверенности

Д) в заявлении



36. Официально-деловой документ, в котором содержится описание человеком основных этапов его жизни

А) характеристика

Б) автобиография

В) резюме

Г) заявление

Д) доверенность



37. В каком официально-деловом документе содержится просьба о чем-либо?

А) в расписке

Б) в заявлении

В) в резюме

Г) в доверенности

Д) в автобиографии



38. Какой из официально-деловых документов является эффективным средством саморекламы?

А) резюме

Б) автобиография

В) доверенность

Г) заявление

Д) расписка

39. Укажите, какой документ необходимо написать в ситуации, когда Вы хотите досрочно сдать сессию

А) заявление

Б) расписку

В) объяснительную записку

Г) доверенность

Д) докладную записку



40. Укажите, какой документ необходимо написать в ситуации, если Вы опоздали на экзамен

А) заявление

Б) расписку

В) объяснительную записку

Г) доверенность

Д) докладную записку