Предмет: Математика,
автор: volczmank
Помогите пожалуйста!
Приложения:
Ответы
Автор ответа:
0
Ответ:
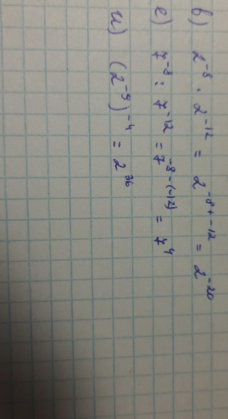
Нужно знать сво-ва степеней. При умножении степени складываются, при делении вычитаются, когда такая ситуация как в примере под буквой "и" то степени перемножаются...
Приложения:
Автор ответа:
0
Ответ:
в)=2^4=16
е)=7^4=2401
и)=2^36
Пошаговое объяснение:
Похожие вопросы
Предмет: Русский язык,
автор: chirova84
Предмет: Русский язык,
автор: АМАЗОНИЯ
Предмет: Русский язык,
автор: 24121978op
Предмет: Физика,
автор: danil753253
Предмет: Математика,
автор: детяада