Предмет: Алгебра,
автор: Аноним
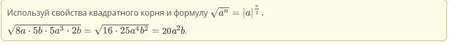
упрости выражения √8а×5b×5a^3×2b
если b ≥ 0.
10a2b
20a2b
–20a2b
если b ≥ 0.
Приложения:
Ответы
Автор ответа:
0
Ответ:
вот снизу в фотографии
Объяснение:
Приложения:
Похожие вопросы
Предмет: Українська мова,
автор: віталіна03
Предмет: Русский язык,
автор: mspangoline
Предмет: Русский язык,
автор: 111Женя111
Предмет: Алгебра,
автор: Hiroshimachan
Предмет: Химия,
автор: оососллсс