Предмет: Алгебра,
автор: dianochka2364
Помоги пожалуйста решить систему уравнений методом подстановки.очень надо)
{15х-4у=8
{-3х+у=1
Ответы
Автор ответа:
0
Вот так вот несложно)
Просто выразили игрек и подставили во второе :)
Просто выразили игрек и подставили во второе :)
Приложения:
Автор ответа:
0
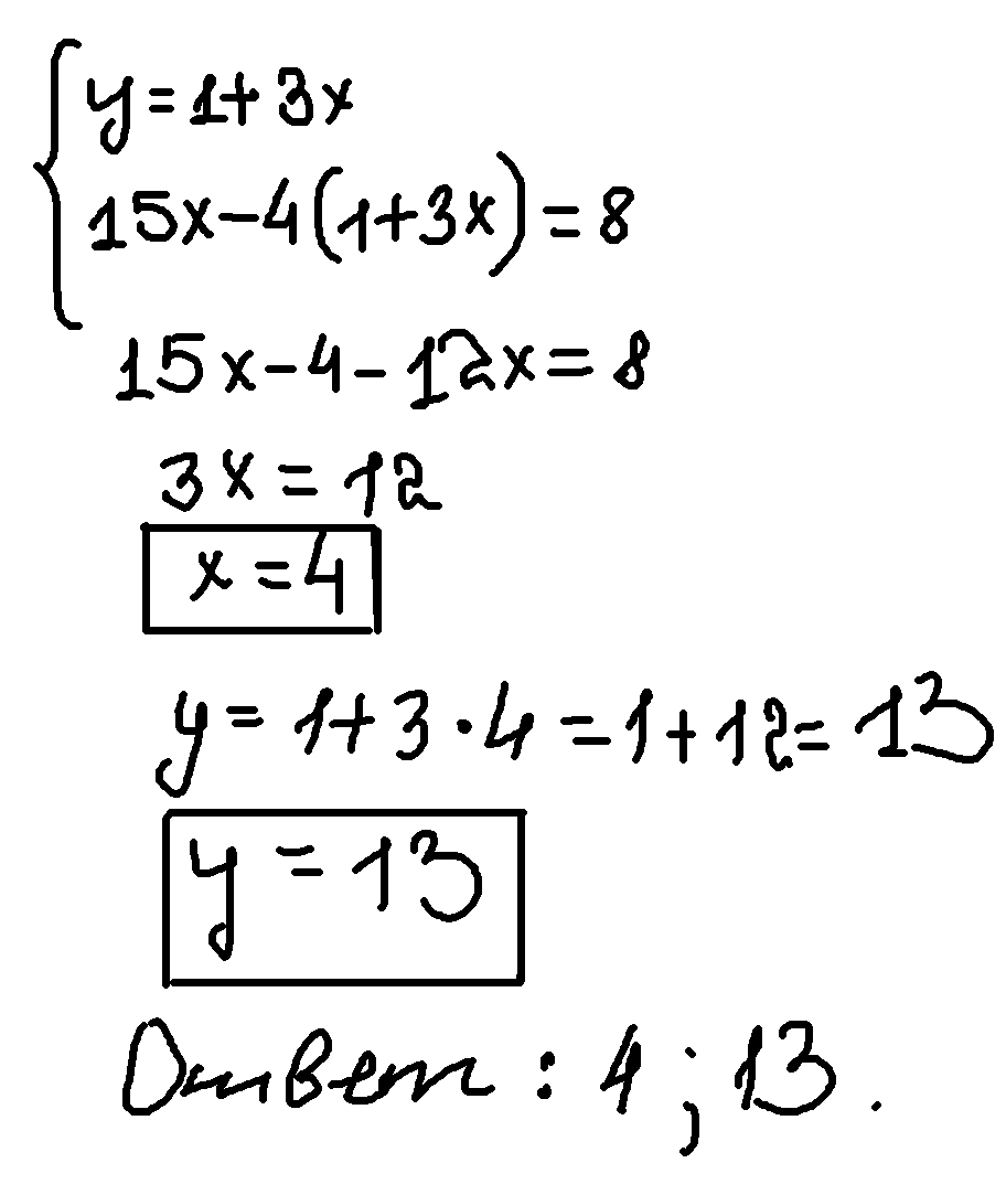
{15х-4у=8
{у=1+3х
{15х-4(1+3х)=8
{у=1+3х
{15х-4-12х=8
{у=1+3х
{3х=12
{у=1+3х
{х=4
{у=13
{у=1+3х
{15х-4(1+3х)=8
{у=1+3х
{15х-4-12х=8
{у=1+3х
{3х=12
{у=1+3х
{х=4
{у=13
Приложения:
Похожие вопросы
Предмет: Русский язык,
автор: Аноним
Предмет: Химия,
автор: 07120712
Предмет: География,
автор: vikanikulina08
Предмет: Алгебра,
автор: 1Пельмешка
Предмет: Химия,
автор: Аноним