Предмет: Алгебра,
автор: smokemel25
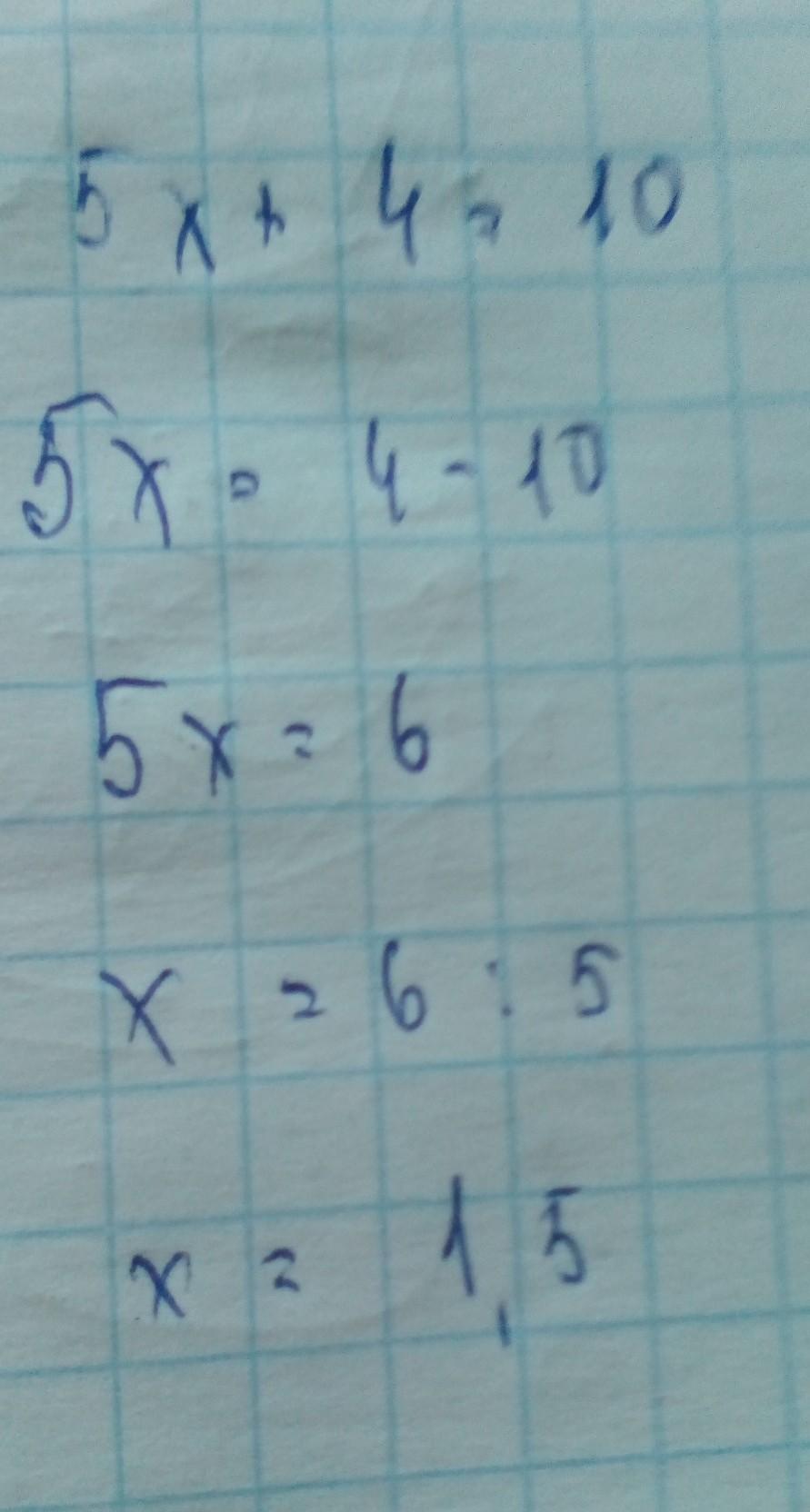
82.
5х + 4 = 10,
5x - Зу = 3.
Система
Ответы
Автор ответа:
0
Объяснение:
............
.......
Приложения:
Похожие вопросы
Предмет: Русский язык,
автор: ВероникаГуке
Предмет: Русский язык,
автор: сендвич
Предмет: Другие предметы,
автор: kuchevamasha
Предмет: Математика,
автор: ssssssss24
Предмет: Математика,
автор: анна1960