Предмет: Алгебра, автор: klimcevakristina

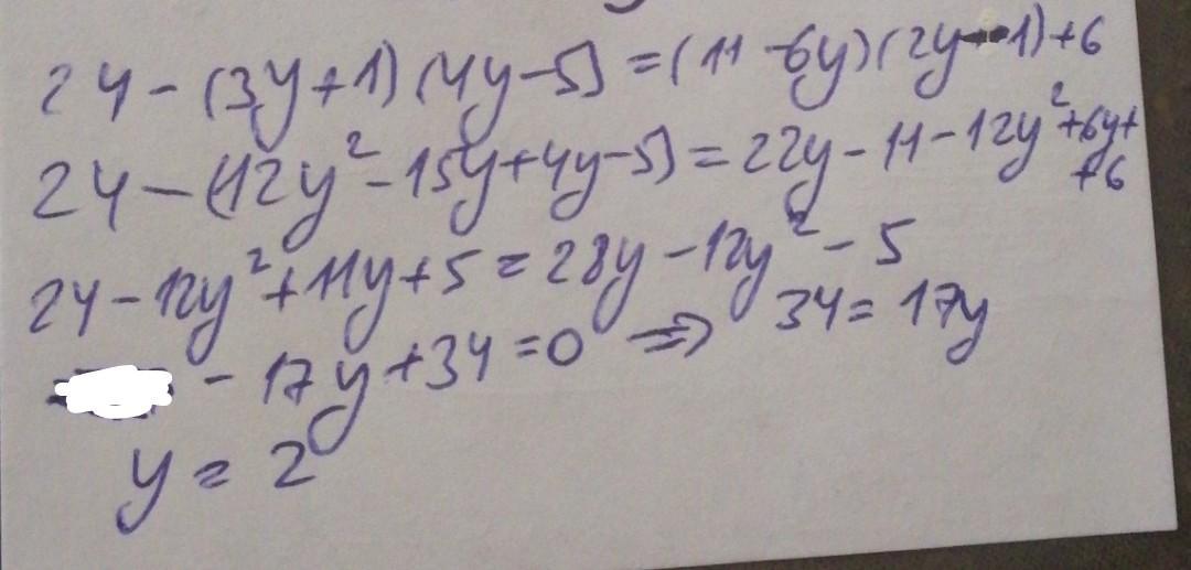
24-(3y+1)(4y-5)=(11-6y)(2y-1)+6 Решить уравнение

Ответы

Автор ответа: shcherbakova603
0

Объяснение:

Ответ в закрепе на фотографии

Приложения:
Автор ответа: Yelena1337
0

24-(12-15y+4y-5)=22y-12y^{2}+6y+6

24-12y^{2}+15y-4y+5-22y+12y^{2}-6y-6=0

-17y=-23

y= \frac{23}{17}

y= 1\frac{6}{17}

Похожие вопросы
Предмет: Русский язык, автор: FeIrA14
Предмет: Литература, автор: Tsivkovskai