Предмет: Алгебра,
автор: Filka7
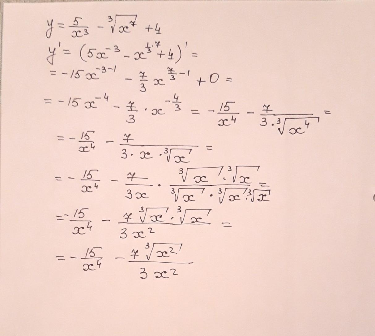
Найти производную функции ( в числителе число 5)
Приложения:
Ответы
Автор ответа:
1
Ответ:
Найдите производную функции.
Приложения:
sharofat0:
Спасибо, исправить не успела!
Автор ответа:
1
у'=(3*х⁻³-х⁷/³+4)'=-9x⁻⁴-(7/3)х⁴/³=
-9/х⁴-7х∛х/3
Формула (хⁿ)'=n*xⁿ ⁻ ¹
(const)'=0
Если условие не три в числителе, а пять, то решение такое
у'=(5*х⁻³-х⁷/³+4)'=-15x⁻⁴-(7/3)х⁴/³=
-15/х⁴-7х∛х/3
Похожие вопросы
Предмет: Українська мова,
автор: marichka21
Предмет: Другие предметы,
автор: nikitintima46
Предмет: Английский язык,
автор: Yanaaakaaa
Предмет: Математика,
автор: zhulik189
Предмет: Математика,
автор: kachelaeva1109