Предмет: Алгебра,
автор: lex7094
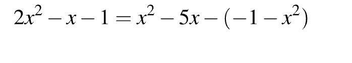
Найдите корень уравнения. ОБЪЯСНИТЕ КАК ПРАВИЛЬНО РЕШАТЬ.
Приложения:
Ответы
Автор ответа:
2
Раскрываем скобки в правой части:
2х² - х - 1 = х² - 5х + 1 + х²
Переносим все элементы из правой части в левую с противоположными знаками:
2х² - х - 1 - х² + 5х - 1 - х² = 0
Сокращаем и получаем линейное уравнение:
4х - 2 = 0
4х = 2
х = 0,5
Ответ: 0,5
Похожие вопросы
Предмет: Русский язык,
автор: poyulya
Предмет: Английский язык,
автор: nastenkasaenko
Предмет: Русский язык,
автор: tatyana201454
Предмет: Геометрия,
автор: БэнгБэнгБэнг