Предмет: Математика,
автор: robo48
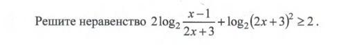
Решите неравенство 2log
Приложения:
Ответы
Автор ответа:
1
Ответ:
==========================
Пошаговое объяснение:
Приложения:
Похожие вопросы
Предмет: Английский язык,
автор: aizhan98981
Предмет: Русский язык,
автор: Sea8
Предмет: Русский язык,
автор: Nurik212
Предмет: Математика,
автор: cavadik04
Предмет: Литература,
автор: ФанаткаБрайна