Предмет: Математика,
автор: lerakhan1703
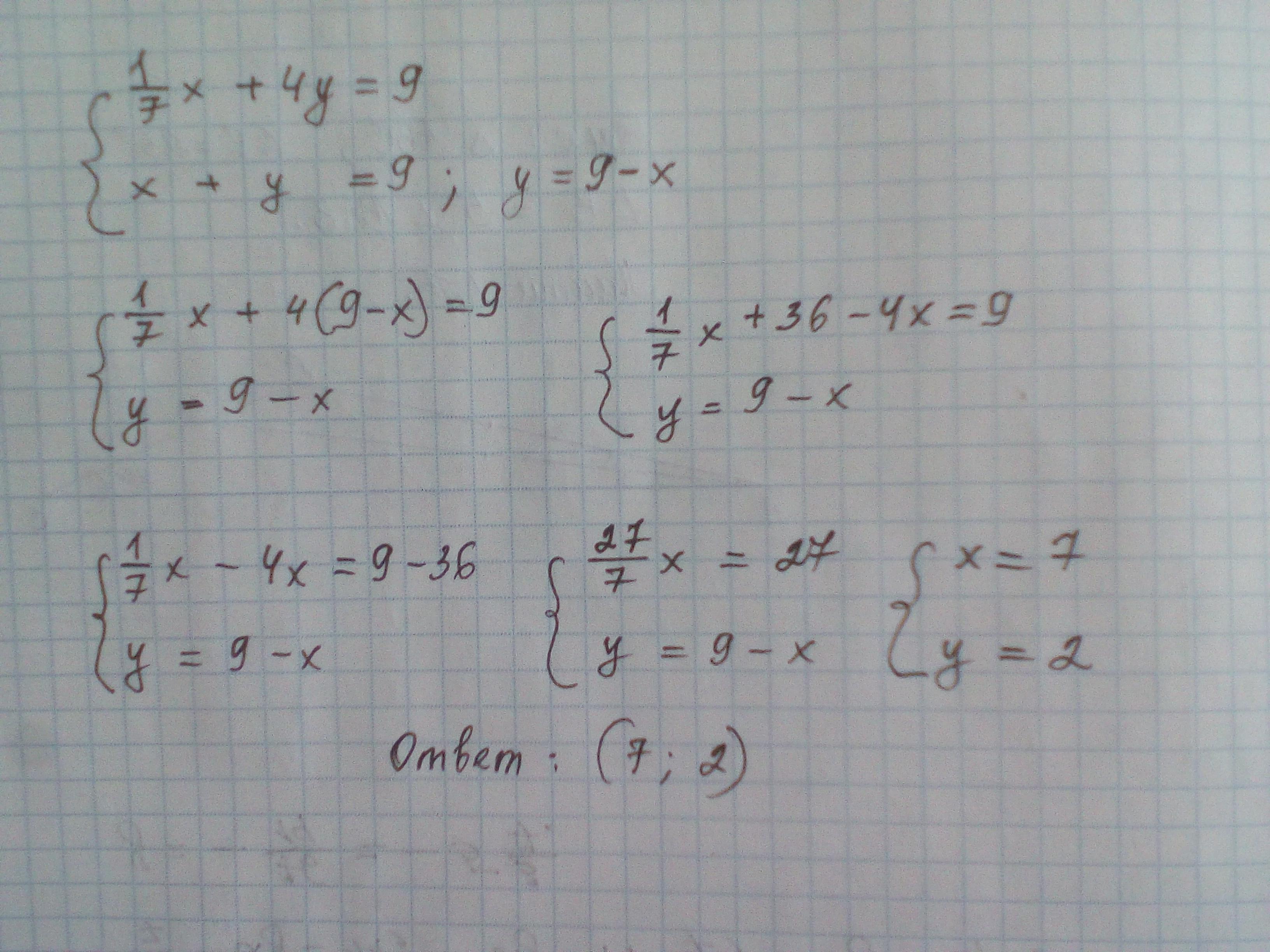
Решения системных уравнений с 2 неизвестными методом постановки с решением 1/7x+4y=9 x+y=9 Помогите срочно
ДАЮ 40 ОЧКОВ
Ответы
Автор ответа:
2
Смотри.......................
Приложения:
lerakhan1703:
Спс опять
Автор ответа:
0
Ответ:
(7; 2)
Пошаговое объяснение:
Приложения:
Похожие вопросы
Предмет: Другие предметы,
автор: акватлон
Предмет: Русский язык,
автор: lera04032001
Предмет: Русский язык,
автор: yanalyubkina9
Предмет: Математика,
автор: Марриичка
Предмет: Алгебра,
автор: alicamirvl