Предмет: Алгебра,
автор: Vladocik2017
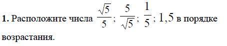
ПОМОГИТЕ ПОЖАЛУЙСТА!
Приложения:
Ответы
Автор ответа:
1
Ответ:
Автор ответа:
0
1/5=√1/25=√0.04
√5/5=√1/5=√0.2
1.5=√2.25
5/√5=√5
Ответ 1/5; √5/5; 1.5; 5/√5
Похожие вопросы
Предмет: Русский язык,
автор: Andreyckd2016
Предмет: Русский язык,
автор: vchiriyadi
Предмет: Русский язык,
автор: renat9
Предмет: ОБЖ,
автор: AndreyOOO
Предмет: Физика,
автор: PersikLola