Предмет: Алгебра, автор: stepanovgleb2000

Постойте график функции 9 класс
Помогите пожалуйста​

Приложения:

Ответы

Автор ответа: DNHelper
1

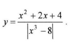
x^3-8=(x-2)(x^2+2x+4). Вторая скобка всегда больше нуля: x^2+2x+4=x^2+2x+1+3=(x+1)^2+3 — квадрат любого числа не меньше нуля, а если прибавить 3, то не меньше 3. То есть нулю это выражение равняться не может, на него можно будет сокращать.

Если бы модуля не было, выражение приняло бы следующий вид:

\dfrac{x^2+2x+4}{x^3-8}=\dfrac{x^2+2x+4}{(x-2)(x^2+2x+4)}=\dfrac{1}{x-2}

Раскроем модуль: рассмотрим выражение при x³ - 8 > 0 ⇔ x > 2 и при x³ - 8 < 0 ⇔ x < 2. В первом случае модуль раскрывается с плюсом, а во втором — с минусом.

\displaystyle y=\left \{ {{\frac{1}{x-2}, x&gt;2} \atop {-\frac{1}{x-2}, x&lt;2}} \right. — это гиперболы, смещённые на 2 вправо, с разным коэффициентом при разных x. Построим первую гиперболу при x > 2 (cиняя) и вторую при x < 2 (красная). Пунктиром обозначены те части гипербол, которые не подходят. На втором рисунке представлен конечный вариант графика.

Приложения:
Похожие вопросы
Предмет: Математика, автор: катёнак6