Предмет: Физика,
автор: MolkyWay
Ребята!!! Срочно нужна помощь! Пришлите полное решение!! Если несложно, то фотографией.
Приложения:
Ответы
Автор ответа:
1
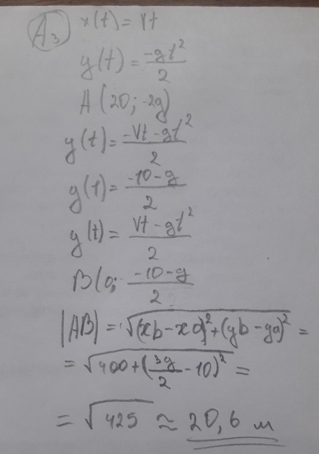
Ответ:
Вот.....................
Приложения:
Похожие вопросы
Предмет: Русский язык,
автор: igorn2601
Предмет: Русский язык,
автор: badikyasaev
Предмет: Русский язык,
автор: Аноним
Предмет: Литература,
автор: elizabeth20032