Предмет: Математика,
автор: bogdanermakov1990
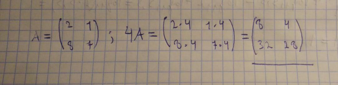
Помогите решить Матрицу
Приложения:
bogdanermakov1990:
С подробным решением!
Ответы
Автор ответа:
1
Ответ:
2)
Пошаговое объяснение:
Приложения:
Похожие вопросы
Предмет: Українська мова,
автор: Ленка557
Предмет: Русский язык,
автор: LadyDiana2002
Предмет: Русский язык,
автор: bbb5
Предмет: Литература,
автор: НастяГришанова