Предмет: Математика,
автор: sambo2002g
вычислите чему равна первая
Приложения:
Ответы
Автор ответа:
0
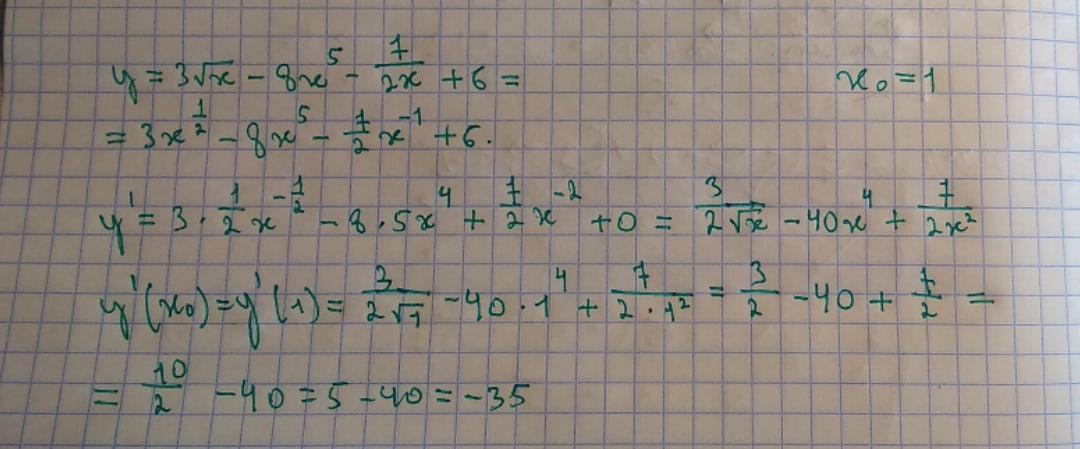
Ответ:
-35
Пошаговое объяснение:
Решение на фото.
Приложения:
Похожие вопросы
Предмет: Английский язык,
автор: 15041979ola
Предмет: Другие предметы,
автор: aleksandrbdin
Предмет: Другие предметы,
автор: Аноним
Предмет: Физика,
автор: Aleksey0704
Предмет: Математика,
автор: 8454277арогш8