Предмет: Геометрия,
автор: lapchenkoviktoria39
ЗАЙКИ ПОМОГИТЕ , СПАСИБО))
Приложения:
Ответы
Автор ответа:
1
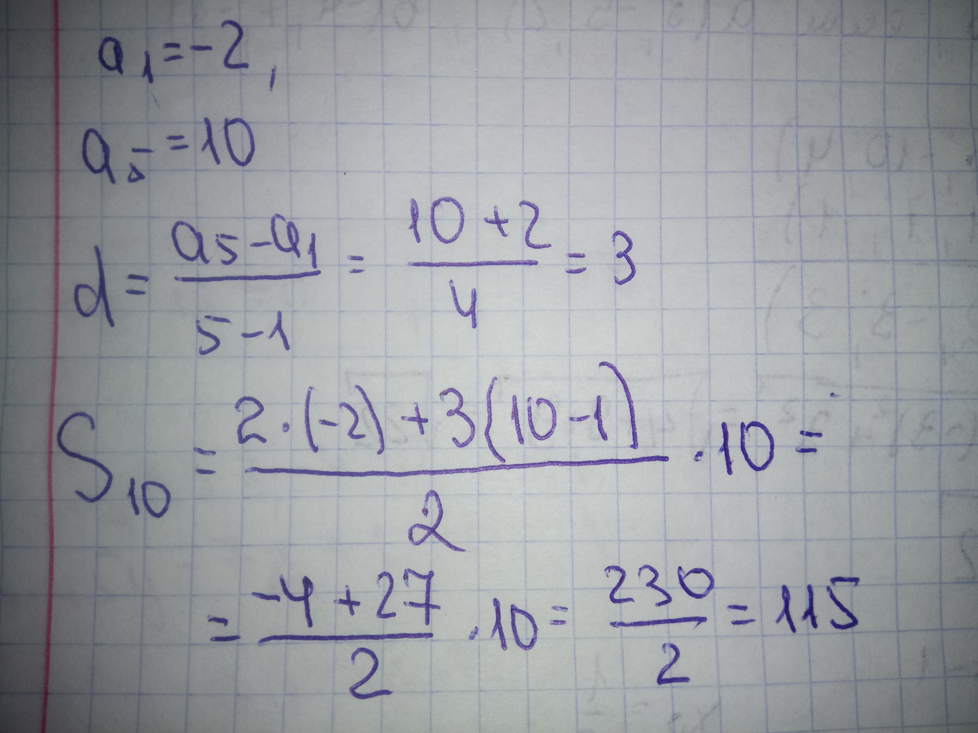
Відповідь: В) 115
Пояснення: фото
Приложения:
Похожие вопросы
Предмет: Қазақ тiлi,
автор: karinastolyaro
Предмет: Русский язык,
автор: sirotkinaarina
Предмет: Русский язык,
автор: курласанчик
Предмет: Геометрия,
автор: Olegator2454