Предмет: Математика,
автор: justskiper735
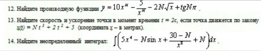
Задачка простая, кто может, черканите, буду признателен);) диагональ куба равна 220 см.найдите ребро куба И если не затруднит, то Решите и их тоже то, что на фотографии)))
Приложения:
justskiper735:
Ребят срочно!! Желательно до 11:20 сделайте пожалуйста
Сколько сможете)))
Вместо N- число 20 ставить нужно
Можете не решать, уже поздно
Ответы
Автор ответа:
0
Ответ:
127 (см) - ребро куба
Пошаговое объяснение:
d² = a²+b²+c²
220² = 3a²
a² = 220²/3 = 48400/3 ≈ 16 133,33
а = √16133,33 ≈ 127 (см) - ребро куба
Похожие вопросы
Предмет: Українська мова,
автор: demyanenko1974
Предмет: Другие предметы,
автор: Софья2045
Предмет: Русский язык,
автор: mszaremo4ka
Предмет: Алгебра,
автор: ReginoMatheys
Предмет: Химия,
автор: hjhjhjhj1212