Предмет: Математика,
автор: skilink29
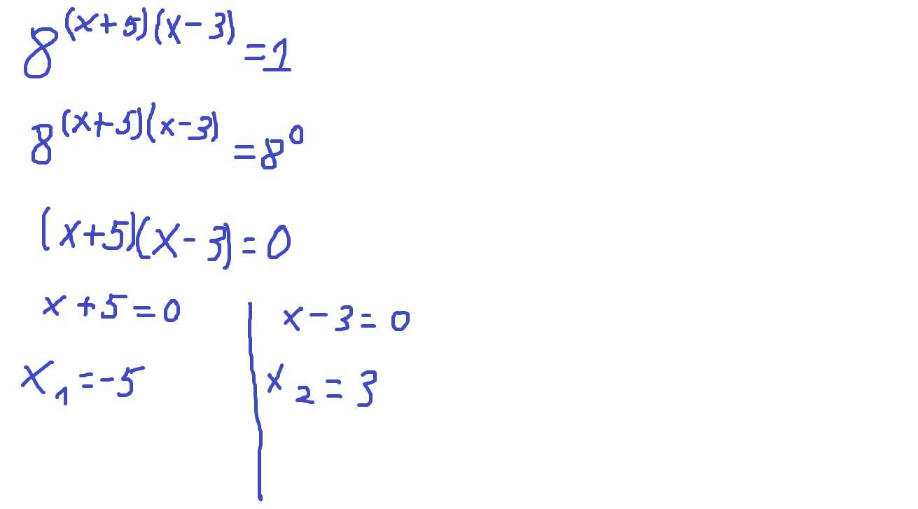
решить показательно уравнение 8^(x+5)(x-3)=1 в ответе укажите наибольший корень
Ответы
Автор ответа:
0
Решение на фото................
Приложения:
Похожие вопросы
Предмет: Русский язык,
автор: 1403anna2003
Предмет: Русский язык,
автор: PoRsHe918
Предмет: Русский язык,
автор: selikhova2003
Предмет: Биология,
автор: ПеЧеньКа215
Предмет: Математика,
автор: Аноним