Предмет: Математика,
автор: hoper123
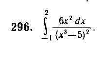
Высшая математика, тема интегралы.
Приложения:
Ответы
Автор ответа:
1
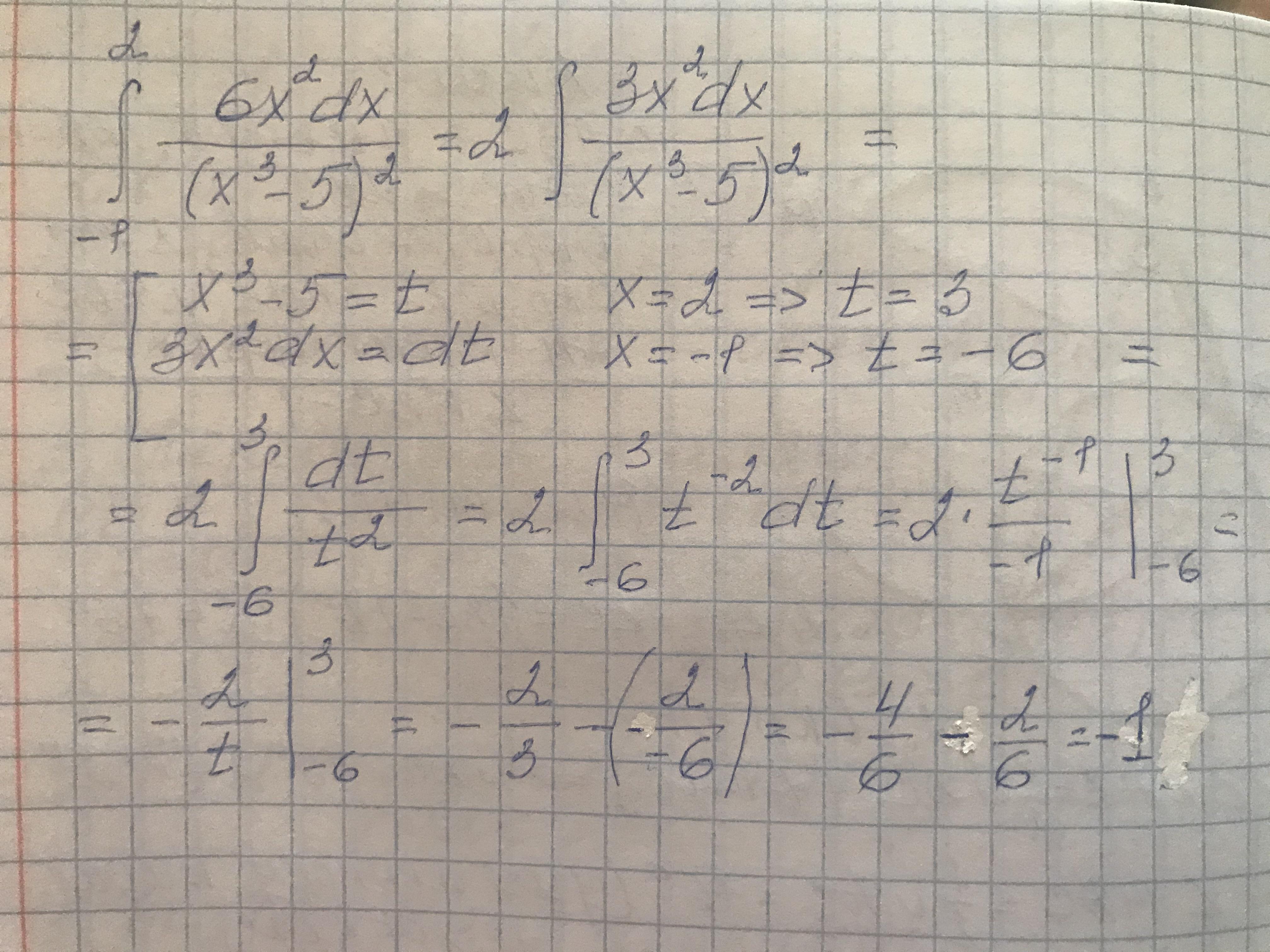
Ответ:
=====================================
Пошаговое объяснение:
Приложения:
Похожие вопросы
Предмет: Русский язык,
автор: kolkatya
Предмет: Английский язык,
автор: dashox1
Предмет: Русский язык,
автор: Полин11
Предмет: Алгебра,
автор: KOJIOCOK
Предмет: Физика,
автор: denpanov