Предмет: Математика, автор: FelixxxPRO

Решить задачу Коши для дифференциального уравнения:

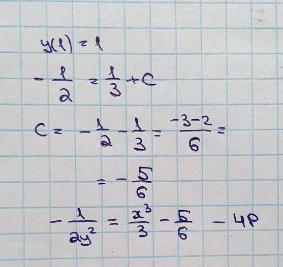
y'=x^2y^3; y(1)=1

Ответы

Автор ответа: Miroslava227
1

Ответ:

решение на фотографиях

Приложения:
Похожие вопросы
Предмет: Українська література, автор: alina766
Предмет: Українська мова, автор: сабіно4ка
Предмет: Математика, автор: kmalinovskaya
Предмет: Алгебра, автор: Anna45792