Предмет: Алгебра,
автор: mOtemOtica
СРОЧНО! ДАЮ 20 БАЛЛОВ!!
Помогите решить способом 7 класса
Приложения:
Ответы
Автор ответа:
0
Ответ:
Объяснение:
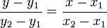
Чтобы получить ответ воспользуйся формулой уравнения прямой по двум точкам: например (-1;2) и (1;4). (y-2)/(4-2)=(x+1)/(1+1) Таким образом выходит y=x+3
Приложения:
Похожие вопросы
Предмет: Русский язык,
автор: mdina1404
Предмет: Қазақ тiлi,
автор: nadiya97b
Предмет: Русский язык,
автор: tarapulka
Предмет: Математика,
автор: alex1272
Предмет: Математика,
автор: Алиса000Тян